Intel отправляет 12-е поколение "Alder Lake" на пенсию: что дальше?
- Категория: Железо
- Дата: 22 января 2026 г. в 18:00
- Просмотров: 99

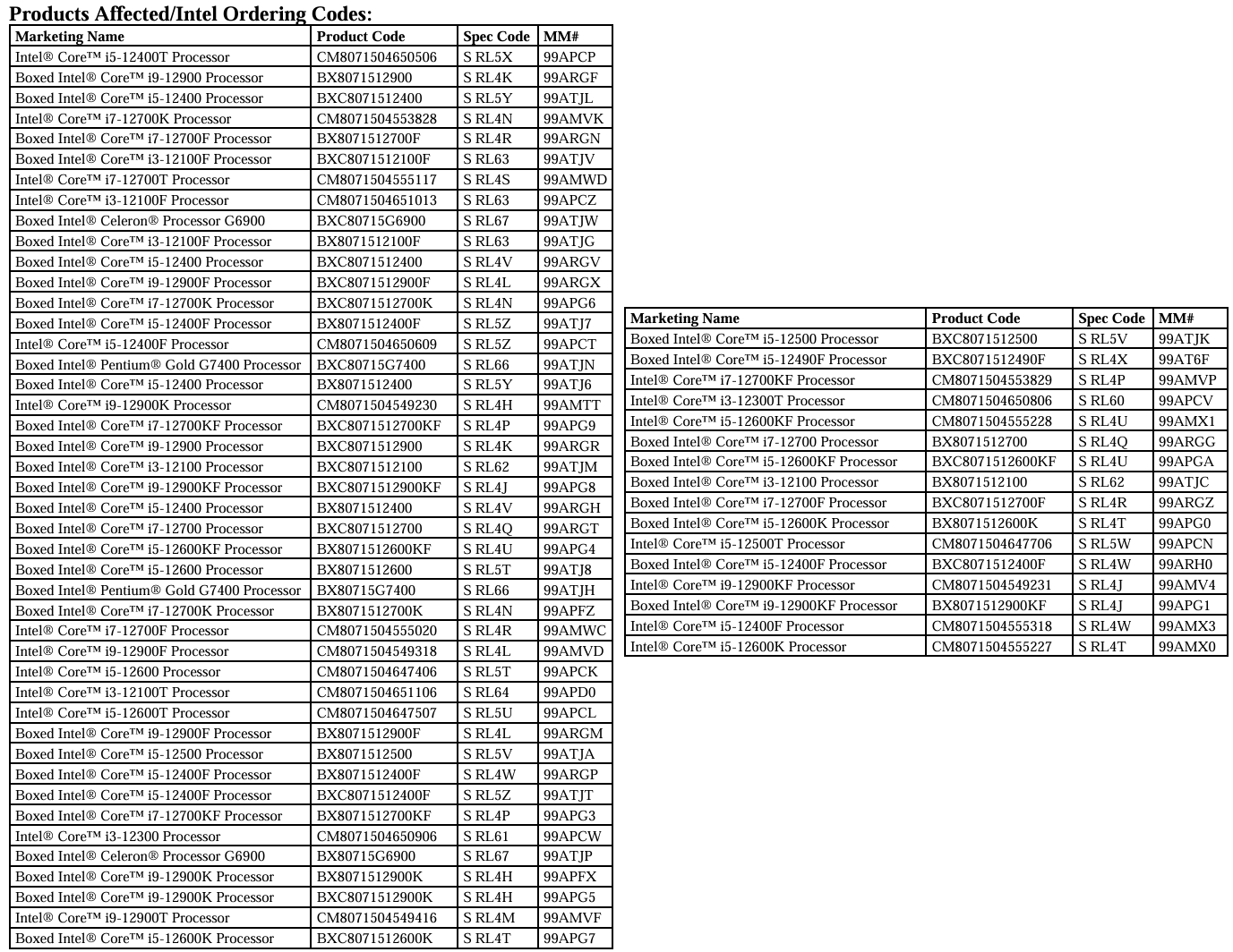
Ну что, друзья, есть новости от Intel! 💥 Похоже, 12-е поколение процессоров "Alder Lake", которые вышли в 2021 году, официально уходят на покой. ⚰️ Intel объявила о переходе этих чипов в статус "прекращение производства". Это значит, что заказывать их больше нельзя будет, и постепенно они исчезнут с рынка.

По их плану, с 6 января 2026 года стартует программа прекращения производства для процессоров Core, Celeron G и Pentium Gold из линейки Alder Lake. Конечная дата для новых заказов от производителей (OEM) — 10 апреля 2026 года. А полная остановка производства и заказов, включая розничные, назначена на 24 июля 2026 года. И финальный штрих — последняя отгрузка Alder Lake произойдет 22 января 2027 года. Вот такая вот история.

Кстати, Alder Lake был очень неплохим поколением. Intel 7 (тот самый 10 нм Enhanced SuperFin) показал себя с лучшей стороны. Плюсы — отличная производительность, поддержка PCIe 5.0 и DDR5. А еще они первыми внедрили гибридную архитектуру "big.LITTLE" с разделением ядер на производительные (P-cores) и энергоэффективные (E-cores). Эта фишка, кстати, до сих пор используется.

Но вот насчет того, смогли ли "Alder Lake" обогнать AMD... Тут история сложнее. Radeon 5000-е Ryzen вышли чуть раньше, и они тоже были огонь 🔥. По нашим опросам после выхода Alder Lake, только 42.7% считали, что Intel сможет на равных конкурировать. Многие думали, что AMD все еще впереди. Ну, а потом AMD выпустила 5800X3D, и он до сих пор горячий пирожок на вторичке.
Intel потом столкнулась с проблемами стабильности у 13-го и 14-го поколений, которые иногда даже "поджаривали" процессоры. 🍳 А новая линейка Core Ultra пока не вызвала такого ажиотажа.
Впереди у Intel — "Panther Lake" для ноутбуков в начале 2026 года и "Nova Lake" для десктопов во второй половине 2026. Будет интересно посмотреть, что они нам покажут.
Что думаете про уход Alder Lake? Просто естественный ход вещей из-за возраста или что-то другое? Делитесь в комментах!
Главное, что Intel продолжает развиваться, даже если старые поколения уходят. Alder Lake был важным шагом, и теперь они смотрят вперед.
Евгений (MSReview)
- Комментарии

